量子力学是人类科学史上发展的丰碑,在20世纪天才辈出的时代出现的它由于其似乎与常理毫不相容的现象而使人们产生了极大的困惑的同时也产生了极大的兴趣。本文将就量子力学的建立过程尝试以时间线为轴而简单进行一下梳理并站在科学发展历史的角度浅谈一些拙劣的看法。
01黑体辐射与能量量子化
国际上公认的量子力学的生日是1900年12月14日。这一天,Planck发表了文章《论正常光谱的能量分布定律的理论》,在这篇文章中第一次正式的提出了能量量子化的概念,而这篇划时代的文章却并未由于其与实验数据拟合度好的令人拍案叫绝而使他的作者本人高兴起来。事实上,相比于成功的解释了实验数据,Planck所面临更大的问题是如何解释他的理论于经典理论看起来完全不可调和的矛盾。
因此我们不妨先将时间线向前拨动一点,来看一下在当时究竟发生了什么。
19世纪末,经典物理学的框架已经被建成。著名的Lord Kelvin在1900年的4月27日发表了一场著名的演讲《在热和光动力理论上的19世纪乌云》中说到:“动力学理论断言,热和光都是运动的形式,但是在这一理论上的优美性和明晰性却被两朵乌云遮蔽而显得黯然失色,第一朵乌云出现在黑体辐射实验和理论的不一致,第二朵乌云出现在关于能量均分的Maxwell-Boltzmann理论上……”而这两朵乌云所带来的后果恐怕是Lord Kelvin以及当时近乎所有物理学家都没有想到的。而其中第一朵乌云所带来的困难正是我们接下来所要主要讨论的能量量子化问题。
关于黑体辐射所辐射出的电磁波的能量与频率关系实际上在实验上早已测定出了相当精准的数据从而得到了一条非常精准的实验曲线(如图1.1),而当时人们为了去拟合这条曲线而进行了一系列对于黑体辐射理论的解释却遇到了很大的困难。其中在Planck给出他的正确黑体辐射公式前,Rayleigh和Jeans已经给出了一条理论上的拟合公式,而这套理论的建立思路是完全按照经典电磁波理论而建立的,而得到的表达式是如下的形式:

可以看到Rayleigh与Jeans的理论s 的理论中𝐸𝜈一个与𝜈2成正成正比,这显然会导致一个荒谬的结论:虽然在低频段与实验曲线还算可以拟合上,然而随着电磁波频率等升高,黑体辐射的能量将以正比于其频率的二次方的形式升高,这会导致该理论在波长较短的区域即紫外区域表现为发散形式,这在历史上被称为紫外灾难。
为了避免这一缺陷,Wien于1896年找到了另一条方程来描述黑体辐射能量与频率的关系,即:

Wien的理论在短波区于实验曲线拟合的较好,但是在长波区会与实验曲线有着较大的区别,但是注意到其函数变化形式基本与实验曲线相似,于是Planck于1900年在Wien公式的基础上加以改进,得到了如下表达式:

值得注意的是,Planck与Wien的表达式形式几乎一模一样,只不过前者在分母处加上了一个常数-1,便得到了与实验曲线完美贴合的理论曲线。

于是现在的关键问题是如何对这个新方程进行物理含义的解释,Planck对比了Rayleigh在考虑黑体辐射时的过程,将(3)式变形为:

考虑Rayleigh公式中的推导过程中存在N~v2dv,其中N为空腔中电磁波允许模式的态密度函数的个数,因此,(4)式中因子

应被解释成频率v的允许电磁波模式的平均能量,并且在将上式改写为:

其中𝛽=1/kT,考虑统计力学公式中partition function:

满足:

比较(6)(8)两式不难看出二者形式上具有很大的相似性,因此令:

对左端等比级数展开,得到:

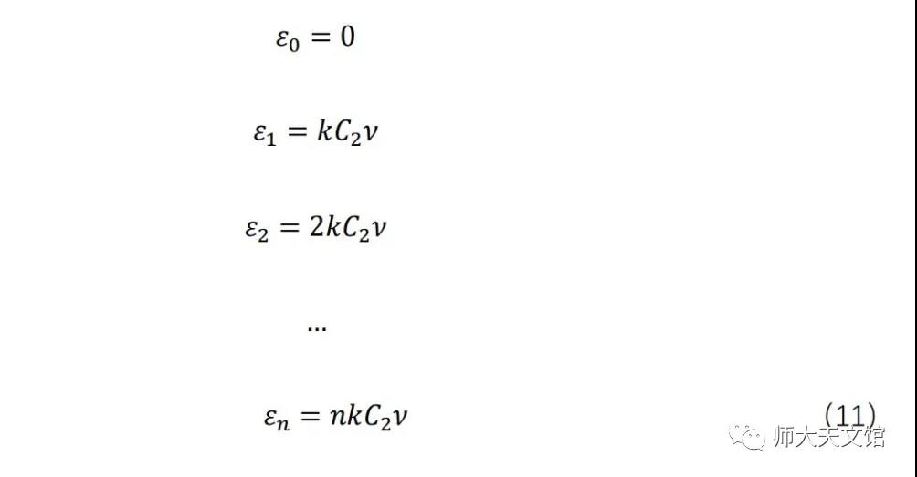
因此可以得到递推关系:

令ℎ=𝑘𝐶2,(11)式于是化简为:

这便是Planck所得到的结论,即在黑体辐射的空腔中,电磁波的能量将以不连续的,按照某一最小能量值的整数份而变化的,于是Planck公式(3)可改写为:

可以看到上式在𝜈→∞时便退化为Wien公式,而当𝜈→0时,我们有:

正式Rayleigh-Jeans公式。而且可以发现上式并不包含常数h,因此这是一个经典物理的结果,这更验证了Planck假设的正确性。
虽然对于黑体辐射的理论解释已经十分明晰,但是这却招致了一个与经典理论完全水火不相容的想法,即经典理论的能量必须是连续分布的,而普朗克的能量量子化理论显然是不能被经典理论所容纳的。因此在1900年被提出后,Planck的理论并没有引起太多人的关注,大部物理学家认为这可能只是一种较为巧妙地数学处理手段罢了,并没有什么太过深刻的物理含义,直到1905年Einstein发表的文章中再一次的用量子化的观念解释了光电效应,人们便不得不思考起量子化的具体物理意义了。

当前位置: